728x90
728x90
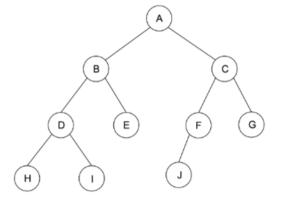
트리(Tree)
계층적인 자료를 표현하는 자료구조다.

- 나무를 거꾸로 한 모습이다.
- 사이클이 존재하지 않고, 모든 노드가 연결되어 있다.
- 방향 그래프이다
트리 관련 용어

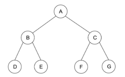
이진 트리(Binary Tree)
자식의 노드의 수가 최대 2개인 트리를 의미한다.

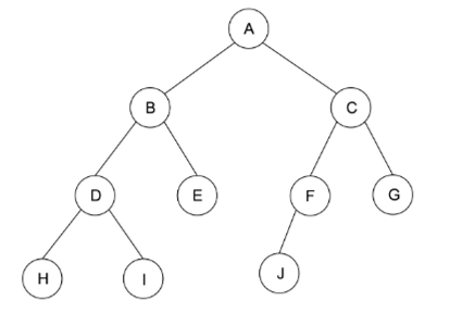
트리 순회(Tree Traversal)
- 전위 순회(Pre-order Traversal) : 노드, 왼쪽 자식, 오른쪽 자식 순서로 방문하는 순회 방법
- A-B-D-E-C-F-G 의 순서
- 중위 순회(In-order Traversal) : 왼쪽 자식, 노드, 오른쪽 자식 순서로 방문하는 순회 방법
- D-B-E-A-F-C-G 의 순서
- 후위 순회(Post-order Traversal) : 왼쪽 자식, 오른쪽 자식, 노드 순서로 방문하는 순회 방법
- D-E-B-F-G-C-A 의 순서
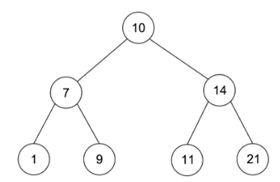
이진 탐색 트리(BST, Binary Serach Tree)
탐색을 위해 조건이 더해진 이진 트리

조건
- 부모 노드보다 왼쪽 자식의 노드가 작다.
- 부모 노드보다 오른쪽 자식의 노드가 크다.
- 같은 값을 가지는 노드는 없다.
시간복잡도

트리의 높이를 h라고 할 때, 삽입/삭제/탐색 모두 O(h)의 시간복잡도를 가진다.
오른쪽 그림과 같은 편향 트리의 경우 최악의 경우로 O(N)의 시간복잡도를 가진다. (N은 노드의 개수)
따라서, 평균 O(logN), 최악 O(N)의 시간복잡도를 가진다.
추가 질문
Q. 그래프와 트리의 차이가 무엇인가요?
더보기
- 트리는 그래프의 일종이다.
- 그러나, 트리는 그래프와 달리 방향성을 가지고, 사이클이 존재하지 않는다.
Q. 이진탐색트리에서 중위 탐색을 하게 되면, 그 결과는 어떤 의미를 가지나요?
더보기
- 오름차순의 형태가 나온다.
- 본문 이진탐색트리 그림에서 '1 - 7 - 9 - 10 - 11 - 14 - 21'로, 오름차순이다.
Q. 이진탐색트리의 한계점에 대해 설명해주세요.
더보기
- 편향트리의 경우 링크드 리스트와 같은 형태가 된다.
- 균형 잡힌 트리가 만들어지도록 조건을 설정해야 한다.
참고
IT위키
IT에 관한 모든 지식. 함께 만들어가는 깨끗한 위키
itwiki.kr
[자료구조] 트리(Tree)란
이번에는 자료구조 중 하나인 트리(Tree)에 대해서 정리하겠습니다. 가급적이면 쉽고 간단하게 설명할 예정이며, 더 깊고 많은 내용을 알고 싶으시다면 다른 블로그를 참고하시기 바랍니다 :) 트
jud00.tistory.com
[자료구조] 이진 탐색 트리 (BST, Binary Search Tree)
목차 이진 탐색 트리 (BST, Binary Search Tree) 이진 탐색 트리란 정렬된 이진트리로써 다음과 같은 속성을 가지고 있습니다. 노드의 왼쪽 하위 트리에는 노드의 키보다 작은 키가있는 노드 만 포함됩
yoongrammer.tistory.com
728x90
728x90
'Computer Science > Data Structure' 카테고리의 다른 글
| Thread Safe 자료구조 (0) | 2023.03.09 |
|---|---|
| Heap(힙) (0) | 2023.03.09 |
| Stack(스택), Queue(큐), Deque(데크) (0) | 2023.03.08 |
| Linked List(연결 리스트) (0) | 2023.03.08 |
| 시간복잡도 & 공간복잡도 (0) | 2023.02.24 |